Faire ou ne pas faire
le chemin de fer ?
Par Mehdi Medmoun (P17)
Le développement et l’entretien des infrastructures de transport (routes, voies ferrées, réseaux urbains…) sont communément admis comme relevant de la nécessité de service public, pour satisfaire le droit à la mobilité des personnes et les besoins économiques des entreprises. Dans quelle limite le service offert justifie-t-il d’investir dans des infrastructures hautement capitalistiques ?
Datadome
Organisé en partenariat avec Bordeaux Métropole et la Région Nouvelle-Aquitaine, le colloque du GART (association des collectivités pour la mobilité) consacré aux enjeux stratégiques et de gouvernance des Services express régionaux métropolitains (SERM) a réuni 230 acteurs de la mobilité, le 13 mars dernier.

Une problématique relancée avec le lancement des SERM

 

Comme pour tout autre projet reposant sur des investissements potentiels de la puissance publique, cette question est revenue sur le devant de la scène avec l’annonce des Services express régionaux métropolitains (SERM), ambition nationale portée par le président de la République en décembre 2022. Véritables “chocs d’offre”, il s’agit de services multimodaux de transports en commun (train, tram, bus, vélo…), à destination des zones périurbaines, visant “une amélioration de la qualité des transports du quotidien, […] la réduction de la pollution de l’air, la lutte contre l’autosolisme (soit le fait de se déplacer seul en voiture), le désenclavement des territoires périurbains et ruraux […], une meilleure accessibilité […] et la décarbonation des mobilités”

Typiquement, les projets de SERM comportent au moins :

  • un volet ferroviaire, basé avant tout sur le renforcement de la fréquence et de la fiabilité des trains plutôt que sur de nouvelles infrastructures. Afin d’améliorer l’accessibilité des territoires, la réouverture en couronne périurbaine de dessertes abandonnées est aussi proposée ;
  • un volet routier, consistant en la création de cars express, services à haute fréquence, censés offrir un temps de trajet compétitif par rapport à la voiture (peu d’arrêts intermédiaires, voies réservées…) avec comme objectif premier d’offrir une alternative à la dépendance à la voiture individuelle.

À ce jour, plus de 24 territoires sont déjà engagés dans une démarche labellisée de SERM (par exemple Bordeaux, en photo ci-dessous), avec une grande diversité de périmètres, et donc de coûts et de bénéfices restant à évaluer. Concrétiser chacun de ces projets appelle à des arbitrages complexes, qui plus est dans le contexte actuel de très grande rareté des fonds publics1. C’est pourquoi il est primordial de pouvoir aiguiller la fonction publique par des outils scientifiques et des méthodologies communes évaluant le bien-fondé des projets de transport : c’est le but du formalisme socio-économique.

 

Le RESE : un outil socio-économique d’aide à la décision

 

Pour définir et étayer une stratégie stable et partagée de développement, l’État français dispose depuis longtemps d’outils d’orientation et d’évaluation des investissements publics. Ceux-ci, en particulier pour les transports, sont sous-tendus par plusieurs textes de référence :

  • la loi d’orientation des transports intérieurs2 (LOTI) de 1982 oblige à produire des bilans socio-économiques et environnementaux 3 à 5 ans après la mise en service des grandes infrastructures de transport, exigence renforcée par la loi n°2012-1558 de programmation des finances publiques ;
  • la stratégie nationale bas-carbone3 (SNBC), la feuille de route donnant les orientations à mettre en œuvre pour la transition vers une économie bas-carbone, circulaire et durable. 
  • les programmations pluriannuelles de l’énergie4 (PPE), exprimant les orientations et priorités d’action des pouvoirs publics pour la gestion de l’ensemble des formes d’énergie en France
  • la stratégie de développement des mobilités propres5 (SDMP), explicitant les principes et leviers d’action pour la transition écologique dans le domaine des mobilités…

C’est dans ce contexte qu’a vu le jour, en 2013, l’actuel Référentiel pour l’évaluation socio-économique des projets de transports (RESE), dont la Direction générale des infrastructures, des transports et des mobilités (DGITM) est le garant. Il permet d’éclairer la décision publique en livrant une image la plus complète possible des conséquences attendues d’un projet de transport, et de comparer plusieurs alternatives de projet. La valeur d’une option de projet se mesure dans le contexte exogène d’un scénario de référence par rapport à une alternative crédible, dite option de référence.

 

Le référentiel est notamment élaboré pour intégrer et pallier deux difficultés méthodologiques :

  • celle de la profondeur temporelle, car la rentabilité d’un investissement dans un projet de transport est bien souvent limitée du strict point de vue financier, et il faut plusieurs dizaines d’années pour recouvrer l’investissement initial par les recettes perçues auprès des usagers potentiels ;
  • celle de l’évaluation et de la comparaison des surplus procurés aux usagers et autres parties prenantes (concessionnaires, transporteurs, riverains…), pouvant être de natures très diverses : gains de temps, amélioration de la sécurité, effets sur diverses nuisances (pollution atmosphérique, émissions de GES, bruit, etc.). 

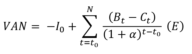
Pour cela, le référentiel6 s’appuie sur deux techniques, la monétarisation des effets – soit l’attribution d’une valeur pécuniaire tutélaire pour les grandeurs associées – et l’actualisation.  La première s’appuie sur des études économiques multiples et reflète à la fois des préférences sociétales et des choix politiques. La seconde formalise le principe selon lequel un bénéfice futur est moins attractif que le même bénéfice présent. Il est alors possible d’agréger les effets financiers et socio-environnementaux d’un projet tout au long de sa durée de vie en un indicateur unique, la valeur actualisée nette socio-économique (VAN-SE). Pour un taux d’actualisation α et une année de référence t0 fixés, un projet nécessitant un investissement I0 en t0 et caractérisé par un investissement initial de I0 et des bénéfices B et coûts C annualisés se valorise sous la forme (E) suivante : 

Datadome

On définit ainsi une métrique commune prenant en compte des grandeurs a priori incommensurables, permettant de “comparer” un accident évité à 10 minutes économisées sur le trajet d’une personne jusqu’à son lieu de travail, ou aux effets néfastes pour la santé, causés par 1000 tonnes de poussières émises par les véhicules… ou bien de savoir s’il est préférable d’éviter l’émission de 100 tonnes de CO2 aujourd’hui ou 1000 tonnes dans 10 ans. Cet indicateur éclaire la collectivité sur l’opportunité d’un projet, mais en toute modestie. A priori, tous les effets d’un projet ne sont pas connus, en nature comme en ampleur ; les techniques de monétarisation et d’actualisation font l’objet d’hypothèses en discussion permanente ; l’évolution des flux de personnes et de biens est estimée sur la base de modèles de trafic sophistiqués, mais imparfaits. 

 

L’évaluation socio-économique des SERM, un cas d’école des pièges et limites de l’exercice !

 

Que dit le RESE de l’intérêt des divers projets de SERM ? En fait, jusque dans les années 2010, la forte valorisation dans (E) des gains de temps de trajet a souvent suffi à justifier la réalisation de projets de transport au regard du RESE, représentant jusqu’à 80 % des bénéfices socio-économiques liés à un projet d’autoroute ou de ligne à grande vitesse. Cet attrait pour la vitesse (monétarisée à travers les gains de temps) se reflète d’ailleurs dans les chiffres des réseaux nationaux : un million de km de routes (dont 23 000 km d’autoroutes) et presque 30 000 km de voies ferrées, bien que d’importantes disparités territoriales subsistent (Figure 1).

Datadome
Figure 1 – Comment les lignes à grande vitesse ont changé les distances en France. Au lieu de prendre la distance kilométrique, si l’on prend les temps de parcours en TGV comme unité de référence, Paris apparaît en 2017 au centre de cette carte de France transformée en anamorphose par rapport aux ouvertures de LGV. https://bit.ly/4fd6gyX Source : SNCF

Cependant, pour la plupart des SERM, les effets du projet sur le temps de trajet moyen sont négligeables voire légèrement négatifs. Au contraire, la valorisation de leurs externalités positives (climatiques avec les émissions de GES évitées, vicinales avec la moindre pollution atmosphérique ou sonore…) reste limitée dans le référentiel actuel. D’autre part, ces projets se doublent souvent d’un plan en faveur des modes actifs, dont les bénéfices pour la santé ne sont pas pris en compte à ce jour. 

Cet écueil se retrouve dans les injonctions parfois paradoxales auxquelles sont soumis les décideurs : 

  • le contournement routier d’un centre-bourg fait perdre du temps aux usagers, mais améliore la sécurité et la qualité de vie des riverains ;
  • la préservation des sols inscrite dans le logiciel de développement urbain par la loi zéro artificialisation nette (ZAN7) incite à réduire le nombre de voies d’un projet routier ou ferroviaire au détriment de la fluidité du trafic ;
  • le développement des modes actifs poursuivi en parallèle de la mise en œuvre de Zones à Faibles Émissions (ZFE8) bénéficiera à la santé publique, mais pas à la vitesse des déplacements. 
  • l’amélioration de la fiabilité et du confort des transports en commun (création de titres uniques, renforcement des grilles horaires ou cadencement) favorisent le report d’usagers depuis la voiture, mais peuvent légèrement allonger le temps de trajet.

Autre “limitation”, celle du choix du scénario de référence. Aujourd’hui calqué sur la SNBC 2, les gains climatiques associés au report modal sont annulés à partir de 2050, le parc routier étant en principe décarboné à cette date (Figure 2).

Datadome
Figure 2 : Trajectoire de motorisation du parc de véhicules légers. L’État a fait le choix, volontariste, de prendre comme scénario de base celui de la trajectoire SNBC 2 pour comparer les différents projets de mobilité. Sous cette hypothèse, avec un parc automobile presque 100 % électrique en 2050, l’avantage du train sur la voiture, du point de vue des émissions de GES, s’efface. Source : SNBC 2

Un référentiel vivant

 

 Le Référentiel vit à travers ses instances de concertation, et notamment à travers le Comité des Utilisateurs, qui associe experts des transports, grands opérateurs d’infrastructures et de services nationaux (SNCF Réseau, VNF, IdFM, etc.) et services de l’État. Ce comité alimente et oriente les évolutions du référentiel ; il sera notamment associé à une réflexion d’ampleur visant à adapter le Référentiel aux aspirations renouvelées du siècle. 

Ces évolutions seront guidées par les pistes de recherche dessinées par l’inspection générale de l’environnement et du développement durable (IGEDD), France Stratégie et le Secrétariat général pour l’investissement (SGPI). La valeur donnée au temps des usagers devrait être rééquilibrée dans le respect des observations empiriques et au profit d’autres externalités du projet. Les gains liés à l’amélioration de la fiabilité des déplacements doivent trouver leur place par rapport aux gains de temps purs. 

Des effets jusqu’alors seulement quantifiés doivent faire l’objet de monétarisations fiables et consensuelles, comme les bénéfices sur la santé liées aux modes actifs, les gains de productivité liés à l’accessibilité et à la densification des activités, la préservation des sols et sous-sols, de l’eau et de la biodiversité. Il en va de même des implications du dérèglement climatique et des risques accrus d’épisodes extrêmes : vague de chaleur, tempête, glissement de terrain, inondation… L’adaptation des infrastructures aux effets du dérèglement climatique doit être intégrée dès les phases amont de conception et d’évaluation du projet pour améliorer leur résilience dans un contexte futur risqué.

Enfin, l’évaluation des projets doit s’inscrire davantage dans l’espace démocratique, incontournable du fait de la consécration du droit à la participation. Les études socio-économiques doivent gagner en transparence et en accessibilité pour le public qui, lorsqu’il n’est pas convaincu de l’opportunité du projet à l’issue des dispositifs de concertation et d’enquête publique, tend à se mobiliser de plus en plus fermement. C’est au prix de ce délicat chantier de refonte que le Référentiel pourra continuer à jouer son rôle au service de la qualité des projets et de l’efficacité de l’action publique.

 

L’auteur tient à remercier Uriel Kaufman et Victor Mongay, pour leur relecture attentive et nourrissante.

Datadome
Rencontre mobilité urbaine et territoire SERM à l’Hôtel de région de Toulouse, en janvier 2024. © Leo Arcangeli - Région Occitanie
1. Le déficit public est estimé à 6,1 % pour l’année 2024, avec un niveau de dette qui atteint environ 112 % du PIB
2. Loi n°82-1153 du 30 décembre 1982, dite “LOTI”
3. La 3e mouture de la SNBC est en cours de consultation – https://bit.ly/3CcdHYu
4. La PPE 2019-2028 – https://bit.ly/4fbi7gZ
5. La SDMP – https://bit.ly/3YSLZJh
6. Pour plus d’informations, consulter la page dédiée du ministère (contenant la fiche technique et les 37 fiches outils composant le référentiel et les valeurs tutélaires) – https://bit.ly/3AtSNn4
7. La loi ZAN : https://bit.ly/3YxpPuF
8. Les ZFE : https://bit.ly/4efsTRY
Mehdi Medmoun
Mehdi Medmoun (P17)
Familiarisé chez Systra (en sortie d’école) à la concertation publique pour de grands projets d’aménagements (Décarbonation de hauts-fourneaux ArcelorMittal, parcs éoliens en mer…), Mehdi est désormais chargé de mission en politique et économie des transports au sein de la Direction générale des Infrastructures, des Transports et des Mobilités (ministère des Transports). Au cœur de ses missions, l’évaluation des investissements publics et plusieurs passions, comme la géopolitique ou l’économie (et bien sûr, le train).
86 vues
0 commentaires